By clicking “Accept All Cookies”, you agree to the storing of cookies on your device to enhance site navigation, analyze site usage, and assist in our marketing efforts. View our Privacy Policy for more information.
Back
Publication
·
November 19, 2025

Emission of coherent THz magnons in an antiferromagnetic insulator triggered by ultrafast spin–phonon interactions

Nature Communications volume 14, Article number: 1818 (2023)

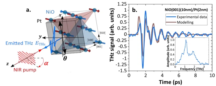
Antiferromagnetic materials have been proposed as new types of narrowband THz spintronic devices owing to their ultrafast spin dynamics. Manipulating coherently their spin dynamics, however, remains a key challenge that is envisioned to be accomplished by spin-orbit torques or direct optical excitations. Here, we demonstrate the combined generation of broadband THz (incoherent) magnons and narrowband (coherent) magnons at 1 THz in low damping thin films of NiO/Pt. We evidence, experimentally and through modeling, two excitation processes of spin dynamics in NiO: an off-resonant instantaneous optical spin torque in (111) oriented films and a strain-wave-induced THz torque induced by ultrafast Pt excitation in (001) oriented films. Both phenomena lead to the emission of a THz signal through the inverse spin Hall effect in the adjacent heavy metal layer. We unravel the characteristic timescales of the two excitation processes found to be < 50 fs and > 300 fs, respectively, and thus open new routes towards the development of fast opto-spintronic devices based on antiferromagnetic materials.

Read the full text

Contact us

Feel free to contact us any time.
We will get back to you as soon as we can !

Thank you ! Your message has been received !
Oops ! Something went wrong while submitting your message...